Product catalogue
Restriction device
Sitepath:Home > Products > Instrument fittings > Restriction device
Brief introduction
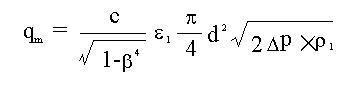
It is a long time to use restriction device to measure the flow in the pipeline which is standardized in domestic and abroad with the manufacturing standard GB/T2624-93 (idt ISO 5167-1-91). The restriction device is always used with differential pressure gauge to measure the flow of liquid, steam and gas. It is applied in several industry dept of petroleum, chemical, metallurgy, power and light industry. With the working principle by local contraction of flow in the location of restriction device, there is static pressure difference which is the basis to calculate the flow through such device. This measurement is in accordance with conversation of energy theorem and flow continuity equation. Please kindly find the formula as follows.

Model representation:

Type of expenditure components (Table I):
| Code | Type of expenditure components | Code | Type of expenditure components |
| K | Standard Orifice | I | Eccentric orifice |
| P | ISA1932 Nozzle | Q | Moon plate |
| H | 1/4Hole plate | J | Classical Venturi tube (machining) |
| C |
Nozzle length
|
T |
Classical Venturi tube (iron welding)
|
| L | Venturi nozzle | X | Venturi nozzle |
Pressure check method:
|
Code
|
Pressure from the way | Code | Pressure from the way |
| H | Corner pressure from Central Office | J | Drive away from pressure |
| F |
Flange pressure check
|
C | Pressure angle integrated access |
| Z | Then angle drilling pressure check | T | Special way of taking pressure |
Nominal diameter:
| Code | 01 | 02 | 03 | 04 | 05 | 06 | 07 | 08 | 10 | 12 | 15 | 17 | 20 |
| Diameter mm | 15 | 20 | 25 | 32 | 40 | 50 | 65 | 80 | 100 | 125 | 150 | 175 | 200 |
| Diameter in | 1/2 | 3/4 | 1 | 11/4 | 11/2 | 2 | 21/2 | 3 | 4 | 5 | 6 | 8 | |
| Code | 22 | 25 | 27 | 30 | 35 | 40 | 45 | 50 | 60 | 70 | 80 | 90 | 99 |
| Diameter mm | 225 | 250 | 275 | 300 | 350 | 400 | 450 | 500 | 600 | 700 | 800 | 900 | 1000 |
| Diameter in | 10 | 12 | 14 | 16 | 18 | 20 | 24 | ||||||
Nominal pressure:
| Code | 00 | 01 | 02 | 03 | 04 | 05 | 06 | 10 | 16 | 20 | 25 | 32 |
| Nominal pressure MPa | 0.6 | 1.0 | 1.6 | 2.5 | 4.0 | 5.0 | 6.3 | 10 | 16 | 20 | 25 | 32 |
| Code | 150 | 300 | 400 | 600 | 900 |
| Nominal pressure-pound class | 150 | 300 | 400 | 600 | 900 |
That the method of straight pipe sections:
| Code |
That the contents of
|
| P | Onto the upstream and downstream straight pipe sections |
| PF | Onto the upstream and downstream straight pipe sections and the connecting flange |
Non-straight pipe sections, omitted this element.
Related products:




